Blog

Image by Freepik

The Subclinical Gap: Why Mechanical Lung Function Is a Lagging Indicator in COPD

For more than half a century, spirometry has defined how we diagnose Chronic Obstructive Pulmonary Disease (COPD). A reduced FEV_1/FVC ratio confirms airflow limitation, and clinical management follows accordingly. International guidelines continue to rely on spirometry as the diagnostic cornerstone of the disease [2].

But here is the uncomfortable truth: Spirometry measures damage. It does not measure disease activity. By the time airflow obstruction becomes measurable on a flow-volume loop, pathological processes have often been evolving for years. Small airway inflammation, oxidative stress, epithelial injury, and alveolar remodeling typically precede the mechanical decline we eventually detect [3]. This delay creates what we might call a subclinical gapa period during which biological injury progresses while mechanical measurements remain “normal.”  

Standard spirometry often misses a “hidden” population, identified as having Preserved Ratio Impaired Spirometry (PRISm)-who exhibit significant lung impairment despite maintaining seemingly normal airflow ratios. According to the foundational study by Çolak et al. (2018), these individuals are in a dangerous “transition state,” with one in four developing full-blown COPD within five years. The limitation lies in how we measure lung health. Traditional diagnostics rely on a “fixed ratio” (0.70), which acts as a rigid, one-size-fits-all cutoff. As shown in Figure 1, this method creates a massive diagnostic gap: it leads to significant underdiagnosis in younger individuals and overdiagnosis in the elderly [1]. The implication for clinicians is clear: If COPD begins as a biological process, our monitoring strategies should reflect biology, not just mechanics.

Figure 1: Definition of airflow limitation (AFL) and differences between the lower limit of normal and the fixed ratio criteria. (a) A theoretical depiction based on two different criteria for AFL, the fixed ratio and the lower limit of normal (LLN). (b) Assignment of individuals from the Copenhagen General Population Study to different criteria for AFL. No AFL was defined as forced expiratory volume in 1 s (FEV1)/forced vital capacity (FVC) ≥0.70 and FEV1/FVC ≥LLN. Potentially underdiagnosed AFL was defined as FEV1/FVC ≥0.70 and FEV1/FVC <LLN. Potentially overdiagnosed AFL was defined as FEV1/FVC <0.70 and FEV1/FVC ≥LLN. AFL was defined as FEV1/FVC <0.70 and FEV1/FVC <LLN [1].

Disease Activity vs. Damage Assessment

In many areas of medicine, we strictly distinguish between markers of damage and markers of activity. 

  • In Infectious Disease control, we do not wait for organ failure before measuring viral load. 
  • In Rheumatology, we monitor inflammatory cytokines before joint destruction becomes visible. 


Yet in respiratory care, routine diagnostics still center on airflow limitation
a downstream consequence of chronic injury. This is where biochemical signals become critical. 

The HO-1 Pathway: A Cellular Stress Response

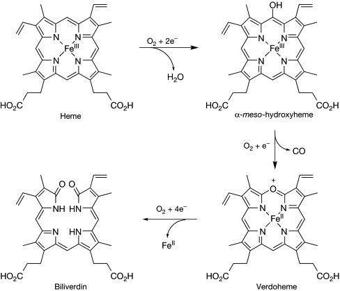
Oxidative stress is central to COPD pathogenesis. Exposure to tobacco smoke, biomass fuel, and environmental pollutants induces inflammatory cascades within the airway epithelium. A key adaptive response to this assault is the upregulation of Heme Oxygenase-1 (HO-1), a cytoprotective enzyme activated during oxidative and inflammatory stress [4]. HO-1 catalyzes the degradation of heme. 

The HO-1 Pathway: A Cellular Stress Response

Oxidative stress is central to COPD pathogenesis. Exposure to tobacco smoke, biomass fuel, and environmental pollutants induces inflammatory cascades within the airway epithelium. A key adaptive response to this assault is the upregulation of Heme Oxygenase-1 (HO-1), a cytoprotective enzyme activated during oxidative and inflammatory stress [4]. HO-1 catalyzes the degradation of heme. Biochemically, the reaction proceeds as follows: 

Figure 2: The catabolism of heme by heme oxygenase (https://www.sciencedirect.com/topics/chemistry/biliverdin)

Carbon monoxide (CO), produced as a byproduct of this reaction, diffuses into the bloodstream and is exhaled. Measured in parts per million (ppm), exhaled CO (FeCO) has long been used as an objective marker of recent smoking [5]. But its relevance extends beyond behavioral validation. 

Elevated FeCO levels have been consistently reported in patients with COPD compared with healthy non-smokers, reflecting the increased oxidative and inflammatory burden within the airways [6]. While not yet a standalone diagnostic, FeCO provides insight into ongoing biological stress—the type of activity that precedes structural decline. 

In simple terms: 

  • Spirometry measures how well the lungs move air. 
  • Biochemical signals (FeCO) reveal how stressed the lungs are. 


Both matter. But they answer different questions.
 

Toward Leading Indicators in COPD

If spirometry represents a lagging indicatorcapturing established airflow limitationthen biochemical markers may function as leading indicators of disease activity. 

This distinction has practical implications for modern primary care: 

  • Risk Stratification: Identifying high-risk smokers whose airflow is still borderline but whose oxidative stress levels are elevated. 
  • Longitudinal Monitoring: Tracking inflammatory stress over time to predict exacerbation risk before lung function crashes. 
  • Pharmacodynamics: Evaluating patient response to anti-inflammatory therapies (e.g., ICS or biologicals) by monitoring drops in oxidative byproducts. 


Current evidence suggests that while FeCO is not a definitive predictor of all exacerbations, its biological plausibility and association with oxidative stress justify its integration into a multimodal monitoring framework [
46]. 

The goal is not to replace spirometry. The goal is to complement it. 

Closing the Subclinical Gap 

COPD remains a leading cause of morbidity and mortality worldwide, with a substantial socioeconomic burden driven by late diagnosis and exacerbation-related hospitalizations [7]. Shifting detection earlier requires tools that move beyond episodic damage assessment toward continuous disease activity monitoring. Portable, point-of-care technologies capable of capturing both mechanical airflow and biochemical stress signals may help narrow the subclinical gap. 

The future of respiratory monitoring lies in integrating spirometry with biologically meaningful signals that reflect what is happening at the cellular level because waiting for airflow to decline is not the same as preventing it. 

Reference

[1] Carpagnano, G. E., Resta, O., Foschino-Barbaro, M. P., Gramiccioni, E., & Barnes, P.J. (2003). Increased inflammatory markers in the exhaled breath condensate of cigarette smokers. European Respiratory Journal, 21(4), 589-593. https://doi.org/10.1183/09031936.03.00022203 

[2] Slebos, D. J., Ryter, S. W., & Choi, A. M. K. (2003). Heme oxygenase-1 and carbon monoxide in pulmonary medicine. Respiratory Research, 4, 7. https://doi.org/10.1186/1465-9921-4-7 

[3] Jarvis, M. J., Russell, M. A. H., & Saloojee, Y. (1980). Expired air carbon monoxide:  A simple breath test of tobacco smoke intake. British Medical Journal (BMJ), 281(6238), 484–485. https://doi.org/10.1136/bmj.281.6238.484   

[4] National Institute for Health and Care Excellence (NICE). (2008). PH10 Stop smoking services, evidence review (CO validation at 4 weeks). (PDF). https://www.nice.org.uk/guidance/ng209/evidence/ph10-stop-smoking-services-february-2008-pdf-10892313614 

[5] Montuschi, P., Kharitonov, S. A., & Barnes, P. J. (2001). Exhaled carbon monoxide  and nitric oxide in COPD. Chest, 120(2), 496–501. https://doi.org/10.1378/chest.120.2.496   

[6] Gatty Instruments AB (2025). https://gattyinstruments.com/   

[7] SPIROLUFT: A Next Generation Breath Analyser Utilising Simultaneous Spirometry & Pulse Oximetry, Säfström, Felix, Master thesis, Uppsala University, Sweden https://uu.diva-portal.org/smash/get/diva2:1916914/FULLTEXT01.pdf 

[8] The Role of Heme Oxygenase-1 in Pulmonary Disease, Laura E Fredenburgh, Mark A Perrella, S. Alex Mitsialis, Division of Pulmonary and Critical Care Medicine, Department of Medicine, Brigham and Women’s Hospital; and Division of Newborn Medicine, Children’s Hospital, Boston, Massachusetts. https://www.researchgate.net/figure/Degradation-of-heme-by-HO-1-HO-1-catalyzes-heme-degradation-to-biliverdin-IX-CO-and_fig1_6812848

Read More

The Subclinical Gap: Why Mechanical Lung Function Is a Lagging Indicator in COPD

For more than half a century, spirometry has defined how we diagnose Chronic Obstructive Pulmonary...

Cardiovascular Risk After an Acute COPD Exacerbation (AECOPD), Why Early Detection Matters

An acute exacerbation of COPD (AECOPD) is typically framed as a lung event, worsening...

Fractional Exhaled CO, A State-Of-The-Art for Early COPD Detection?

Exhaled carbon monoxide, usually written as eCO, is the small amount of CO that leaves the body with...